Leica Noctilux-M, ASPH. 50mm 1:1.2 reissue : The legend continues in the new century
Leica Noctilux-M, ASPH. 50mm 1:1.2 reissue
: The legend continues in the new century
신(新)세기에서, 전설을 이어가다.

.
.
.
Fast Lens Wars (빠른 렌즈 전쟁)
지금은 고감도의 디지털 카메라가 보편화되고, 어두운 곳에서 핸드폰 카메라들 역시 매우 잘 동작하는 풍요로운 시대이지만, 반세기전만 해도 이것은 꿈도 꾸지 못할 환경이었다. 필름이라는 고정된 매체에서 아스라한 빛을 담기 위한 의지는 밝은 대구경 렌즈의 개발로 이어졌다. 이는 보도사진, 전쟁 뿐만 아니라 전후 일반 사람들의 일상에서도 사진기술이 해결해야 할 숙제였다. 빠른 표준렌즈의 요구에 부응하여, 1950년부터 여러 카메라 브랜드들이 앞다투어, 대구경 렌즈를 개발, 발매하기 시작하였다. 그렇게 Fast Lens Wars 의 서막이 올랐다. Leica Noctilux 렌즈를 소개하기 앞서, 이 재미난 경쟁의 역사를 한 번 톺아보자.
...
5cm Zunow 1:1.1 LTM (1953)
최초의 f1.1 렌즈인 5cm Zunow 1:1.1 는 2차대전중인 1943년부터 개발이 시작되었다고 한다. 프로토 타입들은 전쟁중에 사용이 되었고, 1953년에 상용화되어 시장에 출시되었다. (18x24 영화산업을 위해 개발된 후 135 판형을 위해 마운트만 개조해서 출시했다는 설도 있다. 그러나, 전쟁중 군의 요구에 의해 만들어 졌을 가능성이 더 타당한 가설이라고 판단한다.) Sonnar 구조로 설계되었으며 5군 9매의 구성, 후옥이 ball shape 인 것이 매우 특징적이다. 출시가는 $450 로 매우 고가였다. LTM(Leica Thread Mount) 으로 출시되었으며, 이후 니콘 S 마운트로도 생산되었다. 초창기의 렌즈인 만큼, 최초로 빠른 조리개 수치를 구현했다는 것에 의의를 둘 수 있는 렌즈이다. 최대개방에서 상당히 soft 한 면모를 보이기 때문에, 이를 보완하기 위하여, 결국 1955년 4군 9매, 5cm 1:1.3 의 구조로 변경되어 재출시하였다.



...
5cm Fujinon 1:1.2 LTM (1954)
그 다음 바톤을 이어받은 브랜드는 1954년도의 Fuji Camera 였다. 4군 8매의 구조의 Fujinon 5cm 1:1.2, 당시 일본의 브랜드들은 특이한 광물 재료를 이용하여 성능을 더 끌어올리는 방법을 선택했다. 더욱이 이 렌즈는 더 밝은 조리개값의 유혹을 떨치고, 이미지 퀄리티에 좀 더 무게를 두고 설계를 하였던 것으로 보인다. LTM 으로 800개, 니콘 S마운트로 50개가 생산되었다. 개체수가 적은 편이라 실물을 보기 어려운 렌즈중의 하나이다.
이 렌즈의 자세한 설명과 작례는 아래 링크한 Japan Camera Hunter 의 Article 을 참고하면 된다.
CAMERA GEEKERY: FUJINON 50MM F1.2 LTM



...
60mm Konishiroku Hexanon 1:1.2 LTM (1954)
같은 해 1954년 10월 Konica 의 전신인 Konishiroku 에서 6군 8매의 60mm 1:1.2 LTM 렌즈를 발표하였다. 출시가는 미화 $360, 엔화로 78,000 이었다고 한다. 친절하게도 전용 파인더, 후드, 3가지 필터가 package 로 제공되었다. 이 렌즈의 총 생산대수에 대해서는 명확히 알려진 바가 없는데, 80개체 또는 300 개체 정도가 생산되었다고 전해진다. 이 렌즈는 세기말인 1999년 Konica 에 의해 개선된 광학구조를 적용한 6군 7매의 한정판 렌즈(800개)로 기획 발매가 된다. 새로운 60mm 1:1.2 렌즈는 1.비구면을 사용하지 않고, 2.더블 가우스 구조를 가진 빠른 렌즈의 종착역이라고 봐도 무방할만큼 빼어난 렌즈이다.
Konica 의 전신인 Konishiroku 의 렌즈들에 대한 정보는 아래의 링크를 참고하기 바란다.
Konishiroku lenses in Leica screw mount | Camerapedia | Fandom




...
5cm Nikkor-N 1:1.1 LTM (1956)
그 다음 주자는 5cm Nikkor-N 1:1.1 렌즈로서 1956년에 출시되었다. 최초의 F1.1 렌즈 타이틀을 빼앗긴 것에 대한 설움을 떨쳐내기 위해, Nippon Kogaku 엔지니어들이 각고의 노력 끝에 만들어 낸 렌즈이다. 7군 9매의 구성, 무게는 약 400g이다.
F1.1 의 조리개 값을 가진 렌즈로는 Zunow 에 이어 두번째 쾌거인데, Sonnar-type 을 선택한 Zunow 와 달리 Gauss-type 을 선택하였으며, 특별한 희토류 란탄을 첨가하여 굴절율을 비약적으로 향상시켰다. 따라서 Zunow 에 비하여 더 좋은 이미지 퀄리티를 보장하였다. 내부마운트형 835개, 외부마운트형 1,547개, LTM 버젼 211개가 생산되었다.


본 렌즈에 대하여 더 깊이있는 정보를 원한다면,
무려 이십년 가까이, 니콘제일니콘외길(??!!)인생을 펼치고 있는 달인, 거인광학 '박상인'님의 진지한 리뷰 (니콘 전공필수)를 참고하는 것이 좋겠다.
GIGANTOPTIK.COM by Goliathus :: [Nikon] Nikkor-N 5cm F1.1. (tistory.com)
...
50mm Canon 1:1.2 LTM (1956)
1950년대 빠른 렌즈 전쟁의 마지막 주자는 Canon 이었다. Canon 은 1956년 9월, 5군 7매 구성의 50mm 1:1.2 렌즈를 발표하였다. 우선 무엇보다도, 이 렌즈의 가장 큰 장점은 현시점에서 가장 부담없이, 저렴하게 구할 수 있는 빠른 조리개 값의 올드렌즈라는 것이다. 현재 eBay 에서 상태에 따라 $300-$500 정도의 금액으로 구매할 수 있다. 1950년대의 가격이 아니다. 2021년 현재의 가격이다. 가장 고가인 vintage Noctilux-M, asph 1:1.2 와 비교했을 때 100배 이상의 가격 차이다. 50mm f / 1.2 렌즈에는 두 가지 버전이 있다. 첫 번째 버전(1956-1960:약 24,000개)에는 림 주변에 "CANON CAMERA CO. Japan"이 새겨져 있고, 두번째 버전(1961-1967:약 20,000개)에는 "CANON CAMERA CO., Inc. LENS MADE IN JAPAN " 이 각인되어 있다. 총 개체수가 43,675 개로 알려져 있고, 대부분 보존이 잘 된 편이라 구하기 용이한 렌즈이다.
그렇다고 해서 너무 실망하지 마라. 이 렌즈 중에 전면부의 조리개 링이 검정색인 'rare' black version 이 존재한다. 평이한 길을 거부하는 이에게는 이것 역시 좋은 선택이 될 것이다.




Antique and Classic Cameras (antiquecameras.net)
Canon 50mm f1.2 LTM (M39) Lens Review – allmyfriendsarejpegs
...
50mm Canon 1:0.95 LTM (1961)
빠른 렌즈들의 전쟁이 시들해졌을 무렵, 이 경쟁에서 가장 후발주자였던 '캐논'은 비로소 이 전쟁의 마침표를 찍기로 작심한다. 빠른 조리개 값의 역사를 다시 쓰는 무려 F0.95 의 Canon 50mm 1:0.95 렌즈가 1961년 출시되었다.
5군 7매의 구조, 72.5mm 의 거대 구경과, 605g 의 무게(고기한근 이상!), 라이카 바디에 끼웠을 때, 마운트 버튼까지 가려버리는 어마어마함... 이 렌즈는 일반버젼으로 약 20,000개, TV 버젼으로 7,000개가 생산되었다. 두가지 버젼은 서로 코팅이 다르다고 전해지나, 경험해보지 않아 그 말을 그대로 믿을 수는 없고, 삼척동자도 척하면 알만한 차이점이 있으니, 그것은 바로 후옥이다. 일반버젼은 바디와의 기능 연동을 위해, 후옥렌즈의 일부가 썰려있다. 조금 다른 용도로 설계된 TV렌즈는 후옥이 온전하다. 영혼의 일부가 썰린 것 같은 일반버젼보다는 후옥이 원형 그대로 보존되어 있는 TV 버젼에 애정이 더 간다. 분명 기분탓일 것이다. 이 렌즈는 M 마운트 버젼으로 개조된 개체가 많다. 이 렌즈가 궁금하다면, 이미 선대 주인이 삽질을 잘 해 놓은 것을 감사한 마음으로 구매하는 것이 심신의 건강에 이로울 것이다.



Canon 50mm F0.95 “Dream lens” Review — LEICA MOMENT REVIEW (jerrybei.com)
The Canon 50mm f/0.95 Dream Lens Review by Steve Huff | Steve Huff Photo
...
이밖에 독일산으로는 SCHNEIDER KREUZNACH XENON 50MM F0.95 LENS 등이 있었지만, 속지 마시라... 판형이 다른(체급이 다른) C-mount 렌즈였다. 이렇게 1950년대~1960년대 초반 135판형의 빠른 렌즈 전쟁은 일본 브랜드들만의 잔치로 끝을 맺는다.
이런 재미난 전쟁에서 대체 라이카는 뭘 하고 있었을까?
세상에서 제일 재미난 구경이 '불구경' 이랑 '싸움구경' 이라 하지 않던가... 흠흠
라이카는 빠른 조리개 '수치' 에 집착했던 위의 렌즈들과는 다른 방향의 길을 모색한다.
'최대개방에서부터 상용할 수 있을, 훌륭한 이미지 퀄리티를 가질 것'
라이카의 빠른 표준렌즈인 Noctilux 는, 1966년이 되어서야 aspherical element 라는 막강한 첨단 무기를 앞세우고, 'Game Changer' 로서 화려하게 필드에 등판한다.
그리고, 1968년 Zeiss Planar 50mm 1:0.7 렌즈가 지구상의 빠른 렌즈 전쟁을 종식시키고, 아폴로8호와 함께 우주정복을 위해 떠나면서, 인류의 빠른 렌즈 전쟁은 비로소 막을 내리게 된다.



.
.
.
The History of 'Noctilux' ('녹티룩스'의 역사)
SLR 이 주류가 되기 시작한 1960년 초중반, 그럼에도 불구하고 라이카는 보도사진분야에서 아직 큰 영향력을 행사하고 있는 브랜드였다. 당시의 필름 매체에서는 고감도에 대한 기술이 발달되어 있지 않았기 때문에 저조도에서 사용할 수 있는 빠른 렌즈에 대한 요구가 점점 증가하였다. 라이카를 바짝 뒤쫓던 일본 브랜드들이 앞다투어 fast prime lens 들을 출시한 상황이었기 때문에, 라이카 엔지니어들의 부담감 역시 매우 컸을 것으로 추측한다.
라이카는 마음을 다잡고 제대로 된 fast prime lens 를 만들기 위해 고군분투하기 시작한다.
빠른 조리개 값과 좋은 이미지 퀄리티라는 두마리 토끼를 잡기 위해, 라이카는 비구면렌즈에 대한 연구를 1957년부터 진행하고 있었다. 비구면이 처음으로 적용된 렌즈는 1958년 prototype 으로 제작된 35mm Summaron-M, asph 1:2.8 이다. 무려 2개의 비구면을 가지고 있었다고 한다. 최초의 두매 렌즈였는데, 연구자료로만 남았을 뿐, 소개되지도 양산되지도 않은 렌즈였다.


비구면 렌즈 개발에 대한 라이카 연구진의 의지는 확고하여, 1959년 두 개의 비구면을 갖는 52mm 초점거리, 조리개 F1.0을 갖는 prototype 이 개발되었다. 그러나 F1.0 에서의 선예도나 컨트라스트 등이 기대에 미치지 못하여, F1.2에 놓아야 적절하게 사용을 할 수 있었다고 한다. 이를 바탕으로 1964년, Helmut Marx 와 Paul Sindel 에 의해 50mm Noctilux-M, asph 1:1.2 렌즈의 prototype 이 완성되었으며, 1966년에 포토키나에서 화려하게 등장 및 발매되었다.


발매가는 $678, 당시기준으로 초고가이다. 참고로 M3의 가격이 $288 이었다고 한다.
이 최초의 Noctilux 렌즈는 두개의 비구면을 포함하였다. 이를 만들기 위해 특수한 단 한대의 수동 연마 기계가 있었으며, 이를 능숙하게 다룰 수 있는 단 한 명의 엔지니어(Gred Bergmann)가 있었다고 전해진다. 따라서 이 Noctilux 는 약 10년동안 하루에 한 개정도씩만 생산된 것으로 알려져 있다.
얼마전에 작고하신 Erwin Puts 의 정보를 기반으로 많은 문헌에서 2500개 정도의 개체수가 있을 것이라고 추정하였지만, 이번 재발행을 앞두고 라이카 본사에서 직접 1,757개가 생산되었다고 밝혔으니 vintage 는 1,757개 생산된 것이 정확한 정보일 것이다.


라이카는 이에 그치지 않고, 더 진보된 다음 단계로의 도약을 도모한다. 태초의 prototype 이 가졌던 F1.0 조리개를 가진 완성형 Noctilux 를 만들어내기 위해 연구에 매진한다. 당시에는 막다른 길의 문제점을 해결해 줄 key factor 로 비구면을 이용했던 것 같다. (이 방법은 현대에 이르러서도 유효한 선택이다.) 무려 3개의 비구면을 포함한 Noctilux-M, asph 1:1.0 의 개발에 박차를 가한다. 그러나, 이 원대한 프로젝트는 1970년에 이르러 중단되었다. 당시의 비구면 제조 기술이 너무도 미숙하였기에, 시간 등을 포함한 생산비용이 너무도 막대했다. ES(Engineering Sample)을 만드는데는 성공했으나, TP(Test Production)을 거쳐 MP(Mass Production)에는 이르지 못하였다. 명품이라 일컫는 라이카 렌즈들도 결국은 양산형 공산품이었기에, 자본주의 산업의 기본 항목을 빗겨나갈 수 없는 처지였던 것이다. 수익을 효과적으로 창출할 수 있어야 존속할 수 있다.
수요에 비하여 공급량을 맞추기 힘들었던, 그리고 비싼데 싼, 최초의 Noctilux 렌즈도 1975년을 기점으로 단종되었다. 10년동안 홀로 50mm Noctilux-M, asph 1:1.2 의 비구면 생산라인을 담당했던 Gred Bergmann 의 피로도는 어마어마했을 것이다. 모든 vintge 50mm Noctilux-M, asph 1:1.2 렌즈에는 그의 흔적이 남아 있다.



1975년 캐나다 지사의 Walter Mandler 는 비구면을 사용하지 않고 F1.0 조리개 값을 갖는 Noctilux 를 설계해 내었다. 비구면을 없애는 대신 렌즈의 크기를 키웠다. 그리고 약간의 image quality 를 양보했다. 그렇게 생산 단가를 획기적으로 줄인, 양산하기 용이한 Noctilux-M, 1:1.0 렌즈가 탄생하였다. 처음에는 58mm 구경을 가진 이 렌즈는 그후 3번의 minor revision 을 거쳐 2008년까지 무려 30년 이상 생산된다.

그래서 이 steady seller 인 Noctilux-m, 1:1.0 렌즈를 1,2,3,4세대로 각각 구분하기도 한다. 기본설계는 동일하며, 초기형인 58파이는 작은 구경 구조로 인해 필터 사용시 비네팅이 잘 발생한다. 그런 이유로 2세대에서 구경이 60mm 로 더 커졌고, 원형후드를 베이요넷 방식으로 체결하는지, 버튼을 이용한 클립온 방식으로 체결하는지에 따라 2,3세대가 구분된다. 4세대에서는 사각형의 후드가 내장형으로 장착되었다.
녹티룩스 렌즈들의 특징을 다양한 작례와 함께 비교 설명한 'Comato' 님의 Review (라이카 교양 필수) 를 참고하는 것이 여러분의 이해를 도울 것이다.
LEICA NOCTILUX 라이카 녹티룩스 : 르느와르의 붓터치 by Comato
단종을 앞둔 마지막 100개의 Noctilux-M, 1:1.0 렌즈는 특별한 package 로 발매되었다.




2009년 Peter Karbe 는 더블가우스 구조에 2개의 비구면을 포함한, 가장 현대적이고 진보적인 50mm Noctilux-m, asph 1:0.95 렌즈를 발표하였다. 이것은 가히 카메라 렌즈 근현대사에 길이 남을만한 족적이다. 일반적으로 조리개 값이 매우 큰 렌즈들은 최대개방에서 훌륭한 해상력을 기대하기 힘들다. 그러나 이 편견의 틀을 깨어버린 렌즈가 탄생한 것이다. 이전 Noctilux 들의 부드러운 맛에 길들여져, '이 맛은 녹티룩스가 아니다' 라고 고개를 돌려버리는 이들도 간혹 있으나, 1960년대 엔지니어들의 염원이 바로 이런 모습이었을 것이라고 확신한다. 이것으로 Noctilux-M 렌즈는 길고 긴 서사의 마침표를 찍게 되었다.
(여담으로 얼마전 Peter Karbe 팀은 이전 세대 라이카 연구진의 숙원이었던 3개 비구면을 포함한 M 렌즈를 개발 및 양산하는 데 성공하였다. 바로 35mm apo summicron-m, asph 1:2 렌즈이다.)
그리고 2021년 라이카는, 궤도에 오른 현재의 비구면 렌즈 기술을 바탕으로 두매의 비구면을 포함한 지난 세기의 영광이자 전설인 50mm Noctilux-M, asph 1:1.2 렌즈를 재발행하였다. 과연 이들은 왜 이 오래된 렌즈를 재발행하기로 했을까?
참고문헌 : viewfinder vol.53 issue.4 NOCTILUX 50MM F/1.2 ASPH : An Appreciation by Jonathan Slack
.
.
.
2021년, 신(新)세기에서 전설을 다시 이어가다.
.
.
.
Reissue, 재발행(再發行)의 의미, 뉘앙스(Nuance)
인간은 언어로 사고한다. 언어로 자신을 표현한다. 한자 문화권에 살고 있는 우리는 '한문'과, 우리의 근현대에 가장 영향을 많이 미친 국가의 언어, '영문'를 섞어서 언어를 구사한다. 아름다운 순우리말에 적합한 단어가 있다면 좋겠지만 찾지 못하는 경우가 많다. 그래서 오역과 오해가 생각보다 수이 발생한다.
형태가 정해진 공산품에 있어서, 'Reissue' 라는 단어를 흔히 '복각(復刻)' 이라는 단어로 번역을 하게 되는데...
(오랜 덕후의 나라, 일본에서 'Reissue' = '복각(復刻)' 으로 자주 사용했기 때문일 것이다.)
복각(復刻)이라함은, "원형을 '모방'해 다시 판각하였다." 라고 풀어쓴다.
여기에 오묘한 뉘앙스 차이가 존재하는데, 복각(復刻)은 또다시
1. relica, 복제(複製)로 번역될 수 있고,
2. reissue, 재발행(再發行) 으로도 번역될 수도 있다.
replica 와 reissue 는 오해의 간극이 크게 발생할만한 의미를 지닌다.
우리는 이 렌즈를 replica 로 보아야 할 것인가, reissue 로 보아야 할 것인가 고민해 볼 필요가 있다.
이 렌즈의 첫인상에서 나는 이 렌즈를 '사력을 다한 오마쥬' 로 표현한 바 있다.
그러나 이 표현은 반세기 이전에 생산된 vintage Noctilux 50mm 1:1.2 을 기준으로 판단하였기 때문에, 맹목적인 동경으로 인해 발생하는 사고의 결과물이다. 그에겐 그만한 아우라(Aura)가 있기에...
그러나, 이 렌즈는 그저 과거에 존재하던 원형을 본따서 만들어 낸 복제품이 아니라, 제조사가 가지고 있던 자료를 그대로 활용, 동시대의 재료에 맞도록 적용하여 만들어 내어, 당당히 현재의 렌즈 라인업에 다시 이름을 올린, 과거와 현재의 명맥을 잇는 기념비적인 렌즈이다. 백년 가까이 연구자료들 뿐만 아니라 부품들을 꾸준히 아카이빙하고 있는 브랜드는 라이카가 전무후무할 것이다. 다른 브랜드에서의 복각(復刻) 제품은, 프로젝트의 중심이 되어야 할 자료들이 유실된 채로 시작하였기 때문에 reverse engineering 으로 진행된 경우가 대부분이다. 이런 경우는 '복각(復刻)'이라는 표현을 쓰는 것이 맞다.


MILAN SWOLFS 는 Viewfinder Vol53 Issue4 에 'Comparing the Old LEICA 50MM F/1.2 NOCTILUX-M with its 2021 Reincarnation' 라는 제목의 글을 기고했다. Reincarnation, 재생, 윤회, 영혼의 재생... 온전한 번역이란 도무지 쉽지 않다. 필자도 일전에 Reborn 이라는 표현을 썼었지만, Reincarnation 이라는 표현은 참으로 고상하고 품격이 있다. 하지만, 라이카에서 이런 표현에 대한 고민을 더 심도 있게 했을 터, 그들이 정한 Reissue 라는 표현 자체를 다른 용어로 대체하고 싶은 생각은 없다.
따라서 이 녹티룩스 렌즈의 'Reissue' 는 '재발행(再發行)' 이라 번역하는 것이 적확하다. 고로 나는 앞으로 이러한 유형의 카메라 또는 렌즈에 있어, 굳이 한글로 표현을 해야 한다면, '재발행(再發行)' 이라는 표현만을 사용할 것이다.




출시즈음에 블랙은 1,800 개, 실버는 특별한 패키징으로 단 100개만을 한정생산 할 것이라는 정보가 돌았다. 실버 버젼에 대한 정보는 사실인 것으로 판명되었으며, 블랙 버젼에 대한 정보가 분명치 않다. 1,800 개를 일년마다 100개씩 생산할 계획이라는 설도 있고, 한정판이 아니라 계속해서 생산해 낼 것이라는 설도 있다. 무엇이 진실인지는 모르겠으나, 현재는 수요에 비해 공급이 무척 부족한 상태이다. 많은 이들이 이 재발행 렌즈와 만날 날을 손꼽아 기다리고 있다.
극히 한정된 vintage 만이 존재했을 때, 제습함이나 특별한 금고에서 고요하게 잠자고 있을 이 전설과 조우할 수 있는 이들 역시 극히 한정적이었다. 어쩌면 그들은 적은 사람만 소유할 수 있었던 전설을 여럿이 공유할 수 있게 된 현실이 달갑지 않을 수 있다. 많은 이들과 접한 전설은 더이상 특별한 전설이 아니게 될 수 있기 때문이다. 앞으로 참 많은 이들과 조우하게 될 이 녹티룩스 렌즈는 과연 꾸준한 전설로 자리매김할 수 있을 것인가??!!


.
.
.
The Characteristics of Noctilux F1.2 (F1.2 Noctilux 만의 특성)
...
Most Small Size among 'Noctilux' (경박단소)
우선 무엇보다도 여러 Noctilux 중에 부피와 크기가 가장 경박단소함을 꼽고 싶다. 어떤 말이 더 필요하랴...

필자의 녹티룩스 경험은 4세대로 불리는 후드내장형 버젼이 전부였다.
Leica 50mm noctilux-m 1:1, 4th (1993-2008) by 'quanj' (tistory.com)
Leica 50mm noctilux-m 1:1, 4th (1993-2008)
Leica 50mm noctilux-m 1:1, 4th (1993-2008) 녹티룩스 라틴어로 밤을 뜻하는 'noctis' , 'noctium' 와 빛을 뜻하는 'lux' 의 합성어라고 한다. 눈이 큰 아이, noctilux 그렇다고, 밤에만 찍어야 하는 렌즈는..
quanj.tistory.com
누구나 한번쯤은 대구경 렌즈 최대개방의 마력에 빠지게 된다. 이 렌즈들의 마성은 무척 힘이 세기 때문에 대개의 사진가들은 렌즈에게 휘둘리고 만다. 그리고 그것은 사진가가 결단을 내리고 렌즈를 내칠 때까지 지속된다.
사실이 그렇다. 과거와는 달리 현대에 대구경 렌즈를 사용하는 이유는 대구경 렌즈 최대개방에서의 특징적 표현을 보기 위함이니... 그런데, 자기도 모르는 사이 대구경 렌즈의 몽환적인 느낌, 그것만을 표현하려 최대개방으로만, 그리고 그것에 적절한 상황에 맞추어 촬영을 하게 된다. 이른바 보케놀이, 누구든 이 마성에 홀리면 헤어나오기 쉽지 않다.
열혈강호에 등장하는 무림 팔대기보들과 유사하다고 할 수 있다. 이 강력한 무기를 온전히 지배할 수 있는 자만이 초고수로 거듭날 수 있나니...


필자역시 그 마성에 휘둘리며 일년여의 시간을 보냈다. 그 것으로부터 벗어날 수 있었던 계기는, 렌즈의 부피와 무게 때문이었다. 누구든 보케놀이로 사계절을 마주하고 나면, '내가 지금 뭘 하고 있나' 하는 현타가 찾아온다. 그렇게 F1.0 녹티룩스의 주인은 쉽게 쉽게 바뀐다.
누구나 한 번쯤은 거치는 과정이고, 그렇게 '선택'을 하게 된다. 필자가 라이카 카메라를 사용하는 가장 큰 이유는 '광학 레인지파인더' 라는 것과 '작은 부피', 두가지 이다. 몸집이 큰 편이었고 파인더를 많이 가리던 4세대 녹티룩스와 더 이상 동고동락하기는 힘들었다. 대부분 조리개를 어느정도 조인 채로 촬영을 하게 되는데, 가끔씩 최대개방을 사용하겠다는 이유로 불편을 감수하기는 싫었다. 전설속의 F1.2 렌즈가 좋은 선택이었을 것이나, 당시에는 언강생심 꿈꿀 수도 없던 렌즈였다.
그렇게 몇년이 지나고, 내가 F1.2렌즈를 받아들일 수 있을만큼, 마음의 준비가 충분히 되었을 무렵, Reissue 가 찾아왔다.

Summilux 만한 크기였고, 파인더를 가리는 양도 적었다. F1.0보다 반스탑 어두운 F1.2이지만, 조리개 수치는 중요치 않았다. 숫자는 그저 숫자일뿐이다. 평소에는 조여서 사용하고, 가끔씩 사용하는 최대개방 F1.2 에서의 표현력은 나를 완전히 매료시키기 충분했다. 이 렌즈에 익숙해지면, 최대개방으로만 촬영해야 한다는 강박은 사라진다. 크기가 큰 대구경 렌즈를 충분히 즐겨본 후, 종착역으로 선택하기에 적절한 렌즈이다.

...
Swirly Bokeh and Pulsing Bokeh (회오리보케, 그리고 요동치는 보케)
'Bokeh' 라는 단어는 원래 Focus Out 이라는 표현을 일본인들이 줄여서 보케로 발음하였고, 그들의 덕력이 서양에 다시 영향을 미쳐 'Bokeh' 라는 고유명사가 만들어졌다. 보케는 사진에서 초점이 맞지 않는 부위의 빛망울, 그리고 그 영역에서 렌즈가 표현하는 Rendering 등을 복합적으로 의미하는 용어이다.
광학적인 성능을 기준으로 보면, 경계가 모호하고 부드럽게 무너지는 보케를 Ideal Bokeh 라고 하고, 경계가 뚜렷하며 여러가지 수차가 중첩되어 거칠게 흐드러지는 보케를 Poor Bokeh 라고 할 수 있다.
아래 두 장의 예시로 Ideal Bokeh 와 Poor Bokeh 가 무엇인지 쉽게 가늠할 수 있을 것이다.


사실 Ideal Bokeh 니 Poor Bokeh 니 하는 것은 말장난에 불과하다. 좋은 보케, 나쁜 보케가 있는 것이 아니라, 내가 선호하는 보케와 선호하지 않는 보케가 있을 뿐이다. 부드럽게 퍼져 나가는 느낌을 좋아하는 이들도 있을 것이고, 여러 수차들이 중첩되어 흐드러지는 느낌을 좋아하는 이도 있을 것이다. Noctilux F1.2 렌즈는, 이 중 후자에 속한다.
보케에 대해 이해하기 쉽게 씌여진 '산들산들'님의 글을 링크하였으니, 더 공부가 필요한 분들은 참고하면 좋겠다.
<올드렌즈와 디지털카메라의 이종결합 X V> 보케의 이해 / Understanding Bokeh by '산들산들' (tistory.com)
오래전에 누군가 지나가듯 이야기했던, 'Noctilux-M, 4th 와 Summilux-M, 1st 의 개방 느낌이 구분할 수 없이 같다.' 는 말을 철썩같이 믿고 대체제로서 Summilux-M, 1st 를 구해서 사용해 본 적이 있었다. 'Noctilux-M, 4th 렌즈가 너무 무거웠기 때문이다. 그러나, 같을 리가 있겠는가... 무엇이 무엇을 온전히 대체하기는 어려운 법이다. 특히 1세대인 1:1.2 렌즈는 흔들리듯 휘몰아치는 회오리 모양의 보케가 매우 특징적인데, 기분탓인지 이것을 대체할만한 렌즈가 쉽게 떠오르지 않는다. 여튼, 내가 직접 경험하여 확인하기 전까지는 온라인에 떠도는 말을 100% 믿으면 곤란하다.
아래의 사진들은 Noctilux-M, asph 1:1.2 Reissue 렌즈를 이용하여 같은 위치에서 조리개값을 달리하여 담아본 사진이다. 근원경의 피사체가 골고루 등장하기에 좋은 예제가 될 것이라고 생각한다.
눈치가 빠른 분들은 감지하겠지만, 1.4 값에서 비네팅이 조금 줄어들긴 하지만, 1.2에서의 보케 느낌이 거의 잘 살아 있다. 레인지파인더 카메라에서 조리개 1.2의 focus area 를 정확히 이용하기에는 너무 어렵기에 조금 불안하다 싶을 때는 1.4~1.7 정도까지 조여도 원하는 느낌을 얻을 수 있다는 뜻이다. Noctilux 1:1.2 의 개성이 사라지지 않는다. 이 점을 참고하여 적용한다면 즐거운 Noctilux 생활에 매우 유익한 팁이 될 것이다. 아래의 예제를 본다면 무슨 이야기인지 쉽게 이해할 수 있을 것으로 사료된다.






조리개 F2에 도달하는 순간 최대개방에서 보여주는 Noctilux 의 느낌은 거의 사라지기 시작한다. F2.8에 도달하는 순간 이 렌즈는 충분히 Sharp 한 렌즈로 변모한다. 이런 경향은 당연히 F4, F5.6 으로 갈수록 더욱 짙어진다. 렌즈가 녹티룩스이기 때문에 무조건 열고 찍어야 한다는 강박관념에서 벗어나, 상황에 맞는 조리개 값을 내가 선택하는 것, 그것이 바로 이 렌즈의 적절한 사용법이다.
뱅글뱅들 돌아가는 Swirly Bokeh (회오리 보케)는 Noctilux F1.2 렌즈의 대표적인 특성중 하나이다. 보통 이 회오리 보케는 조리개 수치에 비하여 렌즈의 구경이 작은 경우 더 많이 나타난다. 입사각에 의한 비네팅 차이로 발생하는 Cat's Eye Effect, 그리고 비점수차와 코마수차가 중첩되어 휘몰아치는 보케의 형태를 만들어 내는 것이다. 광학설계에 헛점이 있기에 발생하는 보케이지만, 무척 매력적이다.



회오리 보케가 주로 근경을 촬영할 때 관찰할 수 있는 보케라면, 중원경에서 발견되는 요동치는 보케(Pulsing Bokeh)가 있다. 주로 나뭇가지나 풀들에서 볼 수 있는데, 마치 야생 동물의 털이 주뻣주뻣 서서 흔들리는 것처럼, 묘한 생동감과 긴장감을 준다.




위의 특징적인 보케들은 복합적으로 나타나며, 최단초점거리인 1m 에 바짝 붙어 촬영하는 경우 오히려 잘 생기지 않는다. 2-5m 거리에 피사체가 있고, 그 후면의 배경이 규칙적인 패턴 형태를 가질 때, 수차들의 중첩이 극대화되면서 더 잘 발생한다. 매력적인 보케인 것은 분명하지만, 굳이 이 보케를 만들기 위해서 사진을 찍을 필요는 없다. (처음에는 매우 흥미로운 놀이임에 틀림없다.)

...
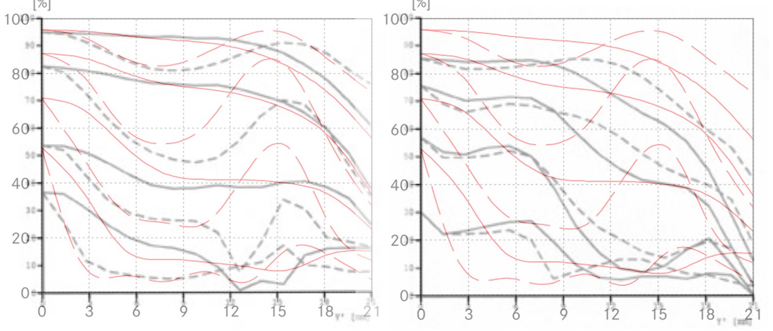
Resolution and Sharpness (해상력과 선예도)
해상력은 렌즈의 분해능을 절대적인 기준으로 설명하는 개념이고, 선예도는 실제로 사진을 보는 이가 상대적으로 선명함을 감지해낼 수 있는 정도에 따른 상대적인 개념이다.
녹티룩스들은 해상력이 좋지 않다. 그러나, 심도 차이로 인해 상대적인 개념의 선예도는 양호한 편이다.
Summilux 나 Summicron 등에서 보이는 해상력을 기대한다면, Noctilux 는 선택지에서 서둘러 제거하는 것이 맞다.
다양한 매체에서 보이는 해상력 예제를 추려보았다. MTF 그래프가 중요하기는 하지만, 그것이 전부일 수는 없다. 실사용에서 어떻게 체감할 수 있는지가 가장 중요한 요소일 것이다.
내가 경험했던 녹티룩스들은 Peter Karbe 의 마지막 작품 F0.95 를 제외하고는 최대개방에서 흐리멍텅했다.
그러나, F1.2 렌즈는 좀 다른 면모를 보인다는 것을 확인할 수 있었다.


렌즈를 처음 만난 2021년 1월 30일에 촬영한 첫 필름샷이다. 이 결과물을 보고 전천후로 충분히 쓸만한 렌즈라고 판단을 했다.


100% crop 에서 첨예한 해상도를 보여주지는 않지만, 심도차이로 인해 상대적으로 돋보이는 선예도가 인상적이다. 진보한 코팅 덕에 최대개방에서도 콘트라스트가 참 좋다.



이 렌즈의 단점으로 꼽을 수 있는 배럴 디스토션, 하지만 항상 이런 사진을 찍는 것은 아니니까...

주변부 해상력 역시 생각보다 뛰어났다. 비구면 렌즈가 가진 힘일까?


중앙부의 해상력에 있어서 Vintage 역시 놀라운 결과물을 보여준다. '이거 정말 Noctilux 맞아?' 라는 의문을 가지게 했던 한 컷...


...
광학적 오류 flare issue
어떤 렌즈는 flare 가 없다. 라는 말은 '이것은 multiple group 의 렌즈가 아니다.' 라고 하는 것과 같다. flare 가 잘 생기지 않는 편이다 라는 표현이 더 적절할 것이다. 그렇다면 flare 가 단지 대칭형 구조에서만 발생하는 부산물이냐? 그것도 아니다. 모든 렌즈는 flare 가 발생할 수 밖에 없다. 그렇다면, 특정 렌즈에 대해 flare 를 지적하는 의견이 다른 이유는 무엇이냐? 그것은 각자에게 각자의 촬영 습관이 있기 때문이다. 즉 flare 는 아무리 용을 쓰고 억제하는 설계를 한다고 해도, 렌즈가 1 group, 1 elelment 가 아닌 한 발생할 수 밖에 없는 오류이다. 난반사가 많이 발생하는 완전 역광 그리고, 빛이 낮고 길게 깔려오는 역사광에서 주로 생긴다. flare 는 렌즈의 코팅색을 반영하며, 특정상황에서 아래의 예처럼 flare 가 발생한다. 이것은 분명 사용자 간에 호불호가 갈릴만한 특성임에 분명하다. flare 로 인해 발생하는 우연의 또는 필연적이 결과물들을 독특한 개성 및 표현으로 받아들이는 것 역시, 렌즈들을 즐기는 좋은 방법일 것이다.


렌즈 테두리의 가공면 형태를 반영하는 광륜은 역광에서 종종 발생한다. 아래에 빈티지와의 비교에서 다시 언급하겠지만, Reissue 와 Vintage 는 역광에서 조금 다른 면모를 보인다.

.
.
.
캔버스(Canvas)로서의 '필름' 과 '디지털' : comparision film(RVP50) and digital(M10-R)
근래의 디지털 바디의 향방은 '그대로 담는것' 을 넘어서, '그린다' 라는 개념에 맞추어 발전하고 있다.
각 바디의 프로세스는 결과물에 많은 영향을 미치며, 올드 렌즈들을 사용함에 있어, 샤프니스, 보케 렌더링 등에도 영향을 준다.
M10 계열부터 프로세스가 좀 더 극대화된 것을 체감하였으며, 그리하여 필자는 올드렌즈를 즐길 때에는 필름 매체를 더 선호하는 편이다.
(To taste an 'old lens', shoot them on 'film'.)
물론 이번의 Reissue 렌즈는 올드렌즈이면서 동시에 현행렌즈인 아주 복잡미묘한 렌즈라고 할 수 있겠다.
직접 비교해 보면서, 재미를 느껴보면 좋겠다.
















.
.
.
Vintage or Reissue ?
많은이들이 Vintage 를 가져야 할지 Reissue 를 가져야 할지 고민을 할 것이다. 2021년 현재의 가치로 보면 Vintage 는 약 $30,000~$50,000 선, Reissue 는 약 $8,000 선으로 가격차이가 많이 벌어져 있다. 현재는 두가지 모두 소유하겠다는 의지만으로는 얻을 수 없는 상황이다.
이 녹티룩스의 맛이 궁금하다면, 전설을 함께 느껴보고 싶다면 reissue 렌즈가 합리적인 선택이 될 것이다.
반드시 Vintage 를 가져야 한다면, 그 허기는 그 무엇으로도 채울 수 없음이 분명하다. 따라하기, 본따기 등 어떤 삽질을 하더라도, 그 허기는 채워지지 않을 것이다. 단순히 따라하는 것이 아니라, 그것이 그것 자체로 새로운 의미를 가져야 한다. 무엇을 하더라도 그것자체로서의 의미를 가질 것, 이것은 정말 중요한 덕목이다.
필자 역시 물욕 앞에서 한없이 나약한 존재이기에 Vintage 렌즈를 갖고 싶다는 욕망이 있지만, 실제로 내 카메라 가방에 자리를 잡고 함께 유랑을 떠날 렌즈는 Reissue 이다. 무엇을 소유한다는 것과 무엇을 사용한다는 것은 전혀 다른 영역의 문제이기 때문이다.
어쨋든 원하는 것을 소유하는 것은 자유이고, 이 선택에 있어서 정답은 없다.
다른 이들에게 답을 구하려 하지 말라, 각자의 답은 이미 각자가 제일 잘 알고 있다.

외형에서 보이는 가장 큰차이는 필터링 thread 의 유무이다. Vintage 는 후드에 시리즈 필터를 삽입하여 사용하는 방식이었기 때문에, 경량화를 꾀한다면 뚜껑처럼 경통을 감싸는 snap on 방식의 필터를 따로 제작해야 했다. 그러나 Reissue 는 49mm 필터를 손쉽게 사용할 수 있다.
초점링에 존재하는 빗살무늬의 간격이 서로 다르다. 조리개를 움직일 때의 느낌 역시 다르다. 이것은 아무래도 연식이 반영된 것이 아닐까 생각한다.
경통의 직경이 미세하게 다르다. 고로 두 렌즈는 후드는 서로 호환되지 않는다. Vintage 용으로 제작했던 snap on 필터를 Reissue 에 끼울 수 없다. Reissue 의 경통 구경이 미세하게 더 크다.
Vintage 에서는 짙은 호박색 코팅이 잘 보이고, Reissue 에서는 현대의 코팅 기술이 적용되었기 때문에 cyon 및 magenta 계열의 코팅이 눈에 띈다.


렌즈의 네임링 표기는 NOCTILUX 1:1.2/50 LEITZ WETZLAR SN / LEICA E49 NOCTILUX-M 1:1.2/50 ASPH. SN 으로 각각의 시대를 반영하는 font 를 이용하여 각인하였다. 100개의 한정판 실버 버젼은 LEICA 대신 LEITZ WETZLAR 가 각인되어 있다. 새로운 시대를 맞이하여 재발행된 렌즈이기에, 굳이 font 나 내용까지 똑같이 따라갈 이유는 없다.
필자에게 Vintage 렌즈가 있었다면, 좀 더 통제가 된 상황에서 비교를 해 볼 수 있었겠지만, 아쉬운대로 불쑥 'Comato' 님을 찾아가 '대충' 비교촬영을 해 보았다. 몇 컷을 촬영해 보고 나서, 나는 굳이 두 렌즈의 결과물을 비교할 필요가 없다는 것을 깨달았다.








어차피 시각은 결국 뇌가 관여하기 때문에, 누구든 보고 싶은 것을 보고, 생각하는대로 보게 되어 있다.
간략하게 눈에 띄는 차이점을 언급하자면 코팅 차이에 의한 색밸런스, 컨트라스트 등에 차이가 있고, 색수차나 역광 억제력등에서 차이를 보인다.
광륜의 형태와 역광억제에 대해서는 분명히 다른 면모를 보이는데, 광륜은 렌즈알의 테두리 가공면 형태를 반영하는 만큼 Reissue 의 테두리 가공면이 더 날카롭게 가공된 것으로 보인다. 참고로, 역광에서 플레어나 광륜은 두 렌즈 모두 극단적 상황에서만 간간히 발생한다. (라이브 뷰로 놓고 돌리고 돌려서 확인하였다.)
마지막 비교 사진을 자세히 보면, 현행 코팅을 적용한 Reissue 는 광륜을 여러겹으로 보여주는 대신 역광에서의 사물이 비교적 더 또렷하게 보인다. 색수차도 더 적다.
Vintage 에서의 광륜은 좀더 소프트하게 관찰되며, Reissue 보다 역광으로 인해 상이 흐리게 보이는 경향이 있다. 이런 극단적인 비교에서는 현대의 기술로 보완된 Reissue 의 우수함이 더 돋보일 것이다. 즉, 역광억제력 및 발색은 Reissue 가 더 우수해 보인다.
다음은 SLR클럽 LEICA 포럼 '¤빛사냥꾼¤' 님의 Vintage 와 Reissue 비교작례이다. 위의 '대충'한 비교와 달리 결과물의 색밸런스를 통일하여, 렌즈 자체의 렌더링, 묘사, 보케부분을 더 집중하여 비교할 수 있도록 한 귀한 작례들이다. 본 리뷰에 링크하는 것을 흔쾌히 허락해 주신 것에 감사 인사를 드린다.
녹티 1.2 오리지널과 복각 사진 몇장. by ¤빛사냥꾼¤
[M7,Ektar100] 녹티1.2 오리지널 & 복각 필름 몇장 by ¤빛사냥꾼¤
렌즈의 렌더링 부분에서, 대부분의 사람들이 차이를 쉽게 알아차리기 어렵다면, '별 차이가 없다' 라고 인정하는 것이 합리적인 판단일 것이다.
.
.
.
결론
다른 관점으로 보면, 이런 구닥다리 렌즈를 제법 비싼 가격에 reissue 한 라이카를 마음껏 비난할 수도 있다. 실제로 욕하는 사람들을 많이 보았다. Fast Lens Wars 에서 모두 빠른 조리개 수치에 집착하고 있었을 때, aspherical element 에 골몰할 정도로 창의적이고 엉뚱한 라이카사다. 모두가 다 같은 방향으로 갈 필요는 없다.
우리가 살고 있는 풍요의 시대, 기술력은 포화되어 성능이 좋은 렌즈는 이미 차고 넘친다.
그런데, 성능 좋은 렌즈가 곧 마음에 드는 렌즈일 수는 없다.
이 Noctilux F1.2 렌즈는 매혹적인 렌즈이다.
F0.95 의 최신 최정예 녹티룩스가 있음에도 불구하고, 라이카에서 굳이 이 렌즈를 재발행하기로 한 이유는,
개성넘치는 전설을 더 많은 사람들이 즐길 수 있도록 하기 위한 배려일 것이다.
모두가 이 렌즈를 가질 수는 없겠지만, 원하는 사람은 조만간 이 렌즈를 손에 넣고 사진을 찍을 수 있는 상황이 되었다.
신뢰할 수 있는 퀄리티를 가진 감성의 렌즈, 그 전설과 마주한 순간,
Vintage 든 Reissue 든 우리가 할 일은 이 녹티룩스를 즐기는 것.
이렇게까지 이야기 했음에도 무엇을 선택해야 하냐고?
둘 중 무엇이든, 당신 손에 잡히는 것을 들고, 셔터를 눌러라.
.
.
.
< samples with M10 monochrome >

.

.

한강, 2021
.
.
.

.

.

.

.

눈내리던 출근길, 2021
.
.
.

.

.

.

.

.

.

.

.

.

창경궁, 2021
.
.
.
< samples with M10-R >

.

.

.

.

.

.

.

.

.

.

.
.
.
.
< samples with RVP50 >

.

.

.

.

.

.

서울식물원, 2021
.
.
.

.

.

.

.

.

.

.

.

봄날은 간다, 2021
.
.
.

.

.

.

.

.

.

.

.

.

심술궂은 봄비는 왜 내 맘을 흔들고 가나요.
.
.
.
.
< samples with HP5+, Rodinal 1:25 >

.

.

.

.

.

.

.

.

.

.

.

.

.

.

월미도, 2021
.
.
.
< samples with kentmere 100 >

.

.

.

.

DDP, 2021
.
.
.
.
< samples with PanF+50 >

.

.

.

.

.

.

.

밤이 깊어갈수록, 새벽이 가까이 온다.
.
.
.
.
epilogue
Apo Summicron 이 한 치의 실수도 용납치 않는 ‘최정예 살수’같은 캐릭터라면,
이 Noctilux 는 인간미 있게 가끔은 덤벙대고, 딴청을 피우지만
발단, 전개, 절정, 결말의 서사로, 결국 과업을 수행해 내는 캐릭터에 비할 수 있겠다.
모두 알고 있듯, 어느 정도의 표현력까지는 렌즈가 거들 수 있는 문제이나,
결국 사진이란, 렌즈가 결정하는 것은 분명 아니다.
나의 시선과 심상과 눈 앞의 실체가 하나로 공명하는 짧은 순간,
그 찰나를 끊어내는 슛팅,
누군가 알든 모르든 사진 속에는 내가 반영되어 있으며,
사진을 되새김질 할 때, 나는 나를 조우하게 된다.
결국은 내가 행복하고 즐거워야 좋은 사진이 나오는 것이다.
빈티지 렌즈가 현재 중형차 가격 이상을 호가하는 덕에,
천만원이 조금 넘는 재발행 렌즈를 저렴하다고 마음 편하게 굴릴 수 있는, 잉(?)
묘한 상황,
나중에 즐겁게 소환할 수 있을 추억들을
녀석과 함께 쌓아 나가야겠다.
기쁨이란, 있는 그대로의 것을 즐길 수 있는 자들의 것이다.
.
.
.
Leica Noctilux-m, ASPH. 50mm 1:1.2 reissue
: The legend continues in the new century
신(新)세기에서, 전설을 이어가다.

Leica 50mm Noctilux 1:1.2 reissue / before announce : JAN, 2021
Leica Noctilux-M 50mm f/1.2 ASPH. A Legend Reborn : First impression : JAN, 2021
Leica Noctilux-M, ASPH. 50mm 1:1.2 reissue : The legend continues in the new century : MAY, 2021
'the Camera 135' 카테고리의 다른 글
| Unique Soft Buttons (0) | 2021.07.15 |
|---|---|
| 35mm summilux-m, asph. 4th Titan (0) | 2021.07.01 |
| 바르낙 이해하기 : 셔터 스피드, 가상의 시간... (0) | 2021.05.14 |
| The End of Elmar's Journey (0) | 2021.05.05 |
| 50mm Summicron : Rigid, early one with early M2, late one with late M3 (0) | 2021.04.21 |