50mm Noctilux, ASPH. 1:1.2 'Vintage' vs 'Reissue'

올해초 처음 Reissue 렌즈를 접했을 때, Vintage 렌즈와 비교를 하고 싶은 마음이 간절했었던 것이 사실이다. Comato 님과 잠시 만나 주마간산(走馬看山)식으로 비교를 하기도 했다. 다만, 통제가 제대로 이루어지지 않은 비교라, 100%의 확신을 가지기는 어려웠다. 약간의 소감을 정리한 후, 몇달동안 이 Reissue 렌즈를 신나게 사용을 했다. Daily Lens 로 사용하기 어려울 것이라는 편견을 부수기 위해, 열심히 그리고 만족스럽게 사진을 찍었다. 언젠가 연이 닿으면 Vintage 를 사용해 보고 싶다는 생각도 마음 한구석에 품고 있긴 했으나, 그리 적극적이지는 않았다. 이 렌즈를 즐기는 데에는 Reissue 로 충분했기 때문이다. '다르다. 다르다.' 이야기하는 사람들은 꽤 많았는데, 무얼 이야기 하고 싶은 것인지, 대체 어떻게 다른 것인지, 정말 큰 차이라도 나는 것인지 알고 있는 사람은 없는 것으로 보인다.
얼마전 지인에게 연락이 왔다. 이 분은 나의 블로그 글들을 '꼼꼼'하게 읽어주시는 고마운 분들 중 한 분이다. 많은 사람들이 궁금해하고 있지만, 제대로 된 비교 평가가 없는 'Vintage' 와 'Reissue' 를 한 번 직접 비교하고 싶은 생각이 없냐고 물으셨다. 난감했다. 나는 다른 사람의 장비를 빌리는 것을 원치 않는다. 그 반대의 경우도 마찬가지이다. 그리고 내 것이 아닌 것에, 내가 지긋이 제대로 사용해보지 않은 것에 소중한 시간을 내어 소감을 표현하지 않는다. (모두에게, 각자의 시간은 가장 귀중한 가치이다.) 그것은 정말 쓸데없는 짓이기 때문이다.
굳이 비교해야 할 필요가 있을까 싶은 생각이 컷고, 근래의 이런 저런 스트레스들로 시간을 쏟기가 부담스러웠다. 그래도 뱉은 말이 있어서 정중히 요청을 고사하러 간 찰나에 그분께서 말씀하셨다.
"물론, 모든 것을 자기 것으로 하면 좋긴 하겠지만, 그렇다고 그것들을 다 살 수는 없는 것 아니겠어요? 부담갖지 말고 '내 것이다.' 생각하고 편하게 한번 써보는 것이 어떻겠어요? 궁금하잖아요. 우리뿐만 아니라, 다른 사람들도 많이들 궁금할 것 같은데... 허심탄회하게 소감을 알려주세요. 마음껏 까도 됩니다. 이게 뭐라구요... 전혀 신경쓰지 마세요."
현인은 현인이셨다. 이 분은 환자 다루는 법을 너무 잘 알고 계셨다. 내 마음 깊은 곳의 불씨가 활활 타오르기 시작했다. 그렇다. 나는 분명 궁금했었다. 마음속 찌꺼기처럼 남아있었던 짐을 말끔하게 해소할 수 있을 좋은 기회라는 생각이 들었다.
"네, 그래요. 그럼, 제가 한 번 써 보겠습니다."
탄내 그윽하던 스타벅스 커피의 끝맛은 달콤했다.
그렇게 나는 Vintage 렌즈를 주섬주섬 챙겨서 집으로 돌아왔다.
. . .
우선 무엇보다도, 이번 비교기를 제대로 이해하고 싶다면, 아래의 리뷰를 먼저 읽어보고 오기를 추천한다.
급하게 먹으면 체한다. 무엇이든 차근차근 배경지식부터, 천천히... Andante...
Leica Noctilux-M, ASPH. 50mm 1:1.2 reissue : The legend continues in the new century
Leica Noctilux-M, ASPH. 50mm 1:1.2 reissue : The legend continues in the new century 신(新)세기에서, 전설을 이어가다. . . . Fast Lens Wars (빠른 렌즈 전쟁) 지금은 고감도의 디지털 카메라가 보..
www.leicasisyphus.com
. . .
Part I. 외관 비교 (Differences in Appearance)
a. 렌즈 몸통 비교 (Lens Body)

우선 무엇보다도, 렌즈가 만들어진 동시대의 코팅 기술을 사용했기 때문에 코팅 색이 현저하게 다르다. Vintage 는 Amber & Purple 그리고 Reissue 는 현행 렌즈에서 보이는 Cyon, Green & Magenta 계열의 코팅이 관찰된다. 미적으로만 판단하자면, 마치 뼈속까지 따스하게 감싸줄 것 같은 Vintage 의 Amber 코팅 색이 보는 이의 마음을 앗아간다.

Name Ring 에 있는 표기가 다른데,
Vintage 는 NOCTILUX 1:1.2/50 LEITZ WETZLAR Serial Number
Reissue 는 LEICA E49 NOCTILUX-M 1:1.2/50 ASPH. Serial Number
로 표기되어 있다. Font 역시 시대를 대변하는 스타일의 서체로 각기 달리 적용되었다.

E49 나사산 필터림을 포함하는 Reissue 렌즈의 길이가 더 길 것이라 생각하기 쉽지만, 실제 렌즈 길이는 Reissue 가 더 짧다.
'feet' 나 'meter' 표기 및 숫자의 Font 가 다르다. Reissue 의 것이 더 폭이 넓고 견고하며 세련된 느낌을 준다. 그것에 비해 Vintage 의 Font 는 60, 70년대의 타자기에서 볼 것만 같은 고전적인 형태와 비례를 취하고 있다.
Vintage 의 Meter 표기 옆의 작은 숫자는 제작된 실제 초점거리를 새겨넣은 것이다. 이 렌즈의 실제 초점거리는 51.7mm 라는 이야기이다. 대부분의 Vintage 렌즈에는 17 이라는 숫자가 적혀있다. (17이 없는 'Vintage' 를 아직 본 적이 없다.)

빨간 콩에서는 특이할만한 차이를 느끼지 못하겠다. 'Vintage' 렌즈의 경통을 보면, 곳곳에 나사로 고정이 되어 있는 것을 확인할 수 있다.

Reissue 렌즈에는 이런 나사가 보이지 않는다. 그리하여 더 깔끔해 보인다.
렌즈 경통의 각인에도 차이가 있다.
'Vintage' 에는 음각에 하얀 도료로 LENS MADE IN GERMANY
'Reissue' 에는 음각에 도료 없이 LEICA CAMERA WETZLAR MADE IN GERMANY
라고 적혀 있다. 대부분의 현행 라이카 카메라 바디와 렌즈들은 Reissue 에서 보이는 각인 스타일을 취하고 있다.


Vintage 의 경우 경통들이 나사로 조여져 있지만, 'Reissue' 에는 이런 흔적이 없다. 그 이유는 나사를 이용한 고정이 아니라, 접착을 이용한 고정법을 사용했기 때문이다. 무엇이든 나사로 고정이 되어 있어야 한다는 것은 사용자의 편견일지도 모르겠다. 근래에 발표된 렌즈들은 저렇게 내부에 풀(Bond)로 고정이 되어 있는 경우가 많다. 이것은 M3 카메라에서 후기로 갈수록 점점 나사수가 적어지는 것과 일맥상통한 이치일 것이다. 과거의 기준으로 현재를 재단할 필요는 없다.

숫자 폰트 차이가 또렷하게 대비된다. 경통의 톱니모양에도 차이가 있는데, 중간부분은 각각 Notch 수는 9개로 동일하지만, 그 깊이와 폭이 'Vintage' 가 더 크다. 상방의 가느다란 notch 들 역시 'Vintage' 가 조금씩 더 깊다.

이렇게 보면 Vintage 에도 마치 나사산이 있는 것처럼 보이지만, 실제로 49mm 필터와는 절대 결착되지 않는다.
다음은 조리개의 비교이다.






자, 여기서 조리개 날 수를 세어 보자. 모니터에 손을 대고 헷갈리지 않게 세어보자. 어라?! 'Vintage' 는 15개, 'Reissue'는 16개 인 것을 확인할 수 있다. 일반적으로 조리개 날 수가 많아질수록 Bokeh 가 원형에 더 가까워진다. 그러나 15개와 16개의 조리개날로 인한 Bokeh 의 차이는 거의 감지할 수 없는 수준일 것으로 사료된다.

거리계연동 cam 과 닿는 헬리코이드 부위에도 차이를 확인할 수 있다.
'Vintage' 는 전통적인 재료인 황동을 헬리코이드 부품의 재료로 사용하였고, Reissue 는 알미미늄 합금에 블랙 아노다이징한 부품을 사용하였다. 고로 무게는 Reissue 가 한결 더 가벼울 것이다.
Reissue 에는 6bit code 가 있다. 이것을 디지털바디에 적용하면, 비네팅이 줄어든다. 왜곡에는 큰 차이가 없다.

Reissue 는 경통에 11686 이라는 품번이 적혀있다. Vintage 에는 품번이 적혀있지 않다.

렌즈 전체의 길이는 Vintage 가 더 길다. Bayonet 구조의 깊이 차이도 보인다.

마운트 부위에서 경통으로 이행되는 부위가 Vintage 는 계단식으로, Reissue 는 사선형으로 되어 있다. 딱딱함과 부드러움의 차이 정도로 보면 될 것 같다.


렌즈의 무게는 Vintage 453g, Reissue 404g 으로 Vintage 가 더 무겁다. 약 10% 중량차이가 존재하는 셈이다. 고로 Reissue 가 더 작고 가볍다. 경통 및 헬리코이드 등에 사용된 합금이 다르기 때문에 Reissue 는 경량화되었다.
.
.
.
b. 후드 구조 비교 (Hood Accessory)
이제 두 렌즈의 후드 비교이다. 각각의 품번이 다르다. 12503, 12475, 이 둘은 전혀 호환되지 않는다.
각 렌즈의 경통 두께도 차이가 있고, 후드가 고정되는 홈의 위치도 차이가 있기 때문이다.

필터를 제외한 후드 자체의 무게는 12503 : 49g / 12475 : 43g 이다. Vintage 의 것이 더 무겁다.





12503 후드는 Series 8 필터를 적용할 수 있도록 분해가 가능하다.

반면 12475 후드는 일체형으로 설계되었으며, 시리즈 필터가 들어갈 공간은 없다.

후드에 적힌 LEITZ WETZLAR GERMANY 글씨는 크기나 비례 형태 등에서 Vintage의 것이 더 안정적으로 보인다. Reissue 에는 LEICA CAMERA WETZLAR 라고 적혀있다.

자세히 보면 vented 부위의 재단 단면에도 차이가 보인다.
어차피 후드는 잘 안쓰다보니, 각각에게 주어진 것을 필요할 때 사용하면 될 일이다.
.
.
.
c. 필터 구조 비교 (Filter Accessory)
Vintage 의 경우는 거대한 12503 후드에 시리즈 8 필터를 사용하게끔 설계가 되어있다. 그래서 간결하게 필터만 붙여서 사용하는 것이 사실상 불가능하다. 수천만원에 달하는 Vintage 렌즈를 필터없이 사용할 용자는 아마 거의 없을 것이다. 하지만, 저 거대한, 파인더를 많이 가리는 후드를 매번 사용하기는 어려울 터이니, 수리실에 의뢰하여 덮개식 필터를 만들수 있다. 여러가지 버젼이 있는데, simple is the best, 아래의 디자인이 가장 간결하고 편하다. 위쪽의 좁아지는 형태는 Vintage 의 전용 플라스틱 앞캡(14153)을 닫을 수 있게 하는 용도인데, 허접한 앞캡은 대부분 잘 사용하지 않게 된다.


어찌보면 멋지고 진중한 렌즈에게, 잘 어울리지 않은 모자를 덮어씌운 느낌이 들기도 하지만, 달리 대안이 없다.

Vintage 와 Reissue 의 경통두께가 다르기 때문에 (Vintage 보다 Reissue 의 두께가 조금 더 두껍다.) 두 필터는 상호 호환이 불가능하다.
Reissue 에는 13328, 13329 등의 49mm 필터를 장착할 수 있다. E49 나사산을 갖춤으로서 필터의 범용성을 보장하는 Reissue 가 사용하기 더 편하다.
. . .
Part II. 촬영한 사진 결과물의 비교 (Comparison of Output Images)
a. Comparision on M10-R
2021년 10월 기준, 라이카의 최신 디지털 M 바디인 M10-R 을 이용하여 두 렌즈의 디지털 작례를 비교하였다.
근원경들 및 Swirly Bokeh 와 Pulsing Bokeh 가 잘 보이는 장면을 골고루 담아보려 노력하였다
프레임을 최대한 맞추기 위하여 삼각대에 거치하고, 렌즈를 바꿔끼는 식으로 비교 촬영을 진행하였다.
노출값은 수동제어로 동일하게 적용하였으며, 시시각각 변하기 쉬운 자연광 상태를 최대한 동일한 조건으로 맞추면서 촬영에 임하였다.
화이트 밸런스를 통일하여, 두 렌즈의 색표현 차이를 느낄 수 있도록 하였다.
레인지파인더와 라이브뷰를 병용하여 depth of field 를 최대한 일치시키려고 노력하였다.
모든 디지털 사진들은 DNG 로 촬영되었으며, 최대한 날 것 그대로 관찰하기 위하여 자체 보정 프로파일이 없는 Aperture 3.6 으로 export 하였다.
6bit code 를 통해 보정(비네팅 등)되는 것을 피하기 위해 렌즈 감지 기능을 꺼 놓은 채로 촬영하였다.
아래의 예제를 통해 6bit code 렌즈 자동감지기능을 통해 어떤식의 보정이 이루어지는 지 추측할 수 있다. 주변부 광량저하가 현저하게 줄어드는 것을 확인할 수 있다. (다른 사진들은 모두 렌즈자동감지기능을 끄고 촬영하였다.)



.


.


.


.


.


.


.


.


'Vintage' 보다 'Reissue' 가 더 넓게 찍힌다. 렌즈의 유효초점거리, 실제 화각에서 조금 차이를 보인다.
즉, 'Vintage' 의 화각이 조금 더 좁다. 두장의 사진을 비교하면 쉽게 인지할 수 있다.
최대개방에서 중앙부의 해상력은 'Vintage' 가 더 좋고, 주변부의 해상력은 'Reissue' 가 더 좋다.
그러나, 이 차이점은 이 렌즈가 주는 일반적인 렌더링 느낌 자체에는 영향을 주지 않는다.
Swirly Bokeh 와 Pulsing Bokeh 는 두 렌즈 모두 너무나 동일하다.
색상은 Vintage 가 상대적으로 Yellow 와 Green 빛이 더 돌기 때문에 탁해 보이는 경향이 있다.
인간의 감각은 절대적이지 못하기에 이것을, Reissue 가 Blue 와 Magenta 를 보인다고 느낄 수도 있을 것이다.
작례들을 통한 소감상, 색재현력은 Reissue 가 더 좋다.
.
.
.
b. Comparision on RVP50 film

렌즈의 특성은 포지티브 필름에 가장 '솔직'하게 상으로 맺히기 때문에, 아래의 작례들이 여러분의 판단을 돕는데 힘이 될 것이다. 현상 및 스캔은 필자가 자주 이용하는 '팔레트사진관' 의 동일한 process, setting 값으로 진행되었다.
셔터스피드가 가장 정확한 film M 바디인 M7을 이용하여 촬영하였다.
노출값은 수동제어로 동일하게 적용하였으며, 시시각각 변하기 쉬운 자연광 상태를 최대한 동일한 조건으로 맞추면서 촬영에 임하였다.
숙련된 사용자의 레인지파인더 조작으로 depth of field 를 최대한 일치시키려고 노력하였다.
동일한 프레임을 유지하기 위해 삼각대에 바디를 거치하여 렌즈를 바꾸어가며 촬영을 하였다.
.


.


.


.


.


.


.


.


.


.


.


.


.


.


.


별 차이도 없는 것들을 굳이 가르겠다고, 왜 두 장씩 찍고 있는 것인지 자괴감이 들었다.
이것은 정말 재미없는 행위이다.
색감의 차이는 쉽게 인지할 수 있을 것이다.
.
.
.
c. 흐드러진 보케 렌더링 비교 (Blurred Bokeh Rendering Comparison)


.


.









100% crop 이미지를 살펴보면, 중앙부에서 Vintage 가 좀더 선명한 상을 보여주고, 주변부에서는 Reissue 가 좀 더 선명한 상을 보여준다. 빛망울들을 면밀하게 관찰해보면 Vintage 의 빛망울 테두리가 좀 더 진한 양상을 보이는 것을 확인할 수 있다. 테두리가 진한 빛망울은 구면수차가 존재하는 올드렌즈에서 보이는 전형적인 특징이기 때문에, 이는 Vintage 의 구면수차가 Reissue 보다 더 높다는 것을 뜻한다. 즉 Reissue 에서 기존의 구면수차가 일부 개선된 것으로 추정된다. 그 외의 Bokeh Rendering 이나 흐드러진 양상은 놀랄만큼 같다.








.
.
.
d. 착란원 (Circle of Confusion) 형태




아래 100%크롭본 비교에서 빛망울, 착란원의 형태가 다른 것을 확인할 수 있다. Vintage 에서는 전형적인 동시대 렌즈들의 특징 (테두리가 진하고, 동심원들이 보임 : glass 의 불균일한 연마면 및, 곡률에서 기인한다.) 이 보인다. 그에 비해 Reissue 의 빛망울은 좀 더 부드럽고 균일하다. 그런 이유로 out focus area 의 흐드러진 선이 Vintage 가 더 진해보이고, Reissue 가 더 부드러워 보이는 것이다. 현대의 비구면 연마기술이 1960년대보다 좋은 것이 당연하며, 오히려 불균일한 비구면을 만들기가 더 어려울 것이다. 즉, 이 녹티룩스 렌즈의 설계자가 계획했던 비구면 요소의 퀄리티는 Reissue 의 것이 맞다.


통상적으로 ideal bokeh 는 균일한 빛망울 형태 기반으로 해서 만들어지는 것이다. 동심원이 여러개 겹친 것처럼 보이는, 흔히 'Onion Ring' 이라고 부르는 형태의 빛망울은 ideal bokeh 에 해당하지 않는다. 이런 형태가 보이는 것은 비구면 요소의 연마가 불완전함을 뜻한다. 단, 하자가 있다는 것이아니라 완벽하지는 못했다는 뜻이다. 렌즈 만드는 목적이 이 빛망울 형태를 만드는 것은 아니기 때문이다.
10년동안 홀로 Vintage 렌즈의 비구면 연마를 담당했던, Gred Bergmann 의 Finger Print 정도로 보면 될 것 같다.




차이점을 인지하기 쉽게 M10-R 에 물려서 착란원 형태를 비교해 본 예이다.
.
.
.
e. 상의 왜곡 (Distortion)


두 렌즈의 화각차이가 조금 존재한다는 것은 앞서 디지탈 작례와 함께 이야기하였다. 그런데, 눈여겨 볼 것이 하나 더 있다. 가운데를 차지하고 있는 나무의 크기를 눈여겨 보면, Vintage 로 촬영한 것에 비하여 Reissue 로 촬영한 나무가 좀 더 홀쭉하게 보인다. 렌즈의 곡률이 어느 정도 수정이 되었을 것이며, 상의 왜곡 정도 역시 차이를 보이는 것으로 추측된다. 물론 이것은 뒤에서 언급할 MTF 자료에서 좀 더 과학적으로 설명할 수 있을 것이다.
주피사체 뒷쪽의 흐드러진 빛망울이 겹쳐 만들어진 선들은 앞서 설명한 것처럼 Vintage 의 것이 조금 더 진하며, 그 이유로 흐드러지고 어지러운 느낌을 감상자에게 더 내어 주는 것이다. 이렇게 함께 비교를 할 때 알 수 있는 것이지, 따로 놓고 본다면 과연 구분할 수 있는 사람이 있을까?




Barrel distortion 은 Vintage 가 조금 더 큰 것으로 보인다.
.
.
.
f. 색감 (Color)


화이트밸란스를 통제한 디지털 작례에서 본 것처럼, Vintage 가 보여주는 Color 는 Green, Yellow, Cyon 기운이 감돈다. 전체적인 색감은 현대의 코팅으로 재무장한 Reissue 가 더 자연스럽다.
아래는 조리개별 (F1.2/F2.8/F8) 비교인데, 조리개를 조인다고 해서 색의 경향성이 크게 달라지지 않는다는 것을 확인할 수 있다.












모든 렌즈나 카메라는 현실을 그대로 보여주지 않는다. 그것은 불가능하다. 그리고 그 차이점이 바로 개성이다. 각자가 좋아하는 색을 택하면 그만이다. 자기 기준이 명확해야 후보정역시 편하다. 큰일이라면 이런 도구의 색재현의 차이가 아니라, 사진가 스스로 자기가 원하는 것이 무엇인지 분명히 알지 못하는 일일 것이다.
.
.
.
g. 플레어와 광륜 (Flare and Halo)
어떤 렌즈에 flare 가 없다는 것은, 이 렌즈는 1군 1매의 렌즈일 때나 가능한 일이다. Multiple Elements 로 이루어진 렌즈는 수광각에 따라 Flare 가 발생하고, 렌즈알의 테두리 표면정보를 나타주는 광륜(Halo)을 보이기도 한다. 이상적인 렌즈들은 이것들이 발생하지 않는 것이 아니라, 적은 빈도로 발생하는 것이다. 저마다 플레어에 대해 이견이 있는 까닭은 저마다 촬영습관(수광각도)에 차이가 있기 때문이다. 라이카에서 공식적으로 이야기한 것처럼, Reissue 에서 최소한으로 곡률이 수정되었기 때문에, 플레어가 발생하는 수광각도 역시 차이가 있을 것이다. 아래의 예제들은 삼각대로 위치를 고정하고 동일 수광각도, 동일초점거리, 동일조리개(F1.2)로 촬영한 결과물이다. Reissue 로 이리저리 돌려보다가 광륜이나 플레어가 발생하면, Vintage 로 동일한 환경에서 활영을 했다. 반대로 Vintage 로 이리저리 돌려보다가 광륜이나 플레어가 발생하면, Reissue 로 동일한 환경에서 활영을 하기도 했다.








두렌즈 모두 쉽게 광륜이나 플레어가 발생하진 않았으며, 그것이 발생하는 각도가 달랐다. 플레어의 형태차이도 보이며 'Vintage' 에서는 테두리가 진한 형태의 플레어들이 보인다. 'Reissue' 렌즈에서는 무지개빛이 스며있는 복수의 광륜이 관찰된다. 아마도, 렌즈 테두리 가공면의 형태가 서로 다르지 않을까 추측해 본다.
. . .
Part III. MTF 측정 비교 분석 (MTF measurement comparison analysis)
MTF 그래프는 렌즈의 경향성을 보는 용도로만 참고하는 편이라, 맹신하지는 않는 편이다. 사진을 실제 촬영하는 사용자 입장에서 실용적으로 눈에 띄는 것들을 중점적으로 소감을 표현하곤 했는데, 그래도 이번 비교에서는 한 번 제대로 된 계측 장비를 이용해보고 싶었다. MTF 등의 측정은 암실에서 표준화된 장비 환경으로 진행을 해야하기에, 개인적인 수준에서는 도저히 불가능한 검사이다. 사실 이런 측정 및 분석을 개인이 할 이유는 전혀 없다;;;
'Vintage' 와 'Reissue' 렌즈의 비교를 위해, 전문적인 테스트 및 분석을 진행해 주신 '(주)이미징테크이노베이션' 의 '박연준' 대표님께 감사인사를 드린다.
통상 MTF 그래프를 보며, 그것을 직접적으로 비교하는 경우를 자주 목격하곤 하는데, MTF 측정이 정확히 같은 환경에서 동일한 방법으로 이루어지지 않았다면, 그것을 직접적으로 비교하는 것은 무리가 있다. 그래서, 제조사에서 제시한 MTF 와 end user 가 실측정한 MTF 는 차이가 있기 마련이다. 따라서 MTF 그래프는 해당 렌즈의 경향성 정도로 파악하는 것이 적절하다. 아래는 각 렌즈 출시 당시의 라이카사에서 제공한 MTF 그래프를 중첩비교해 놓은 것이다. 그러나, 몇십년씩 차이가 나는 각각의 MTF 측정이 동일한 환경에서 이루어졌다고 생각하는 것은 무리수이다.



기존의 프로토콜대로 MTF 그래프를 출력하여, 이미 존재하는 MTF 값과 비교하는 것이 목적이 아니라,
이 두 렌즈를 동일한 환경, 동일한 protocol 로 체계적으로 비교분석하는 것이 이번 테스트의 목적이다.
무엇이든 목적이 분명해야, 그 다음의 행동들이 간결해진다.
아무리 변인을 통제한다한들 오차는 발생할 수 있으며, 나는 잉여로운 취미활동에 목숨을 걸 이유가 전혀 없으니, 다음의 자료는 경향성을 판단하는 참고자료로 수용하길 바란다.
여튼, 동시대의 동일한 환경에서 이 렌즈들의 MTF를 비교분석한 우주최초의 시도가 아닐까 하는...
이번 'Vintage' vs 'Reissue' 의 MTF 비교 분석은 imatest 에서 제안하는 SFR+ Chart 를 이용하여 진행하였다. 이 측정법에 대한 세부적인 내용이 궁금한 분은 아래의 링크를 정독해보면 될 것이다.
Sharpness: What is it and How it is Measured | imatest
On this page: Rise Distance and Frequency Domain | Modulation Transfer Function | Spatial Frequency Units Summary metrics | MTF measurement Matrix: comparing different charts and measurements | Slanted-Edge measurement | Edge angles | Slanted-Edge mo
www.imatest.com
How to Test Lenses with SFRplus, eSFR ISO, or Checkerboard | imatest
Introduction – Test chart – Photograph the chart – Framing – Lighting Distance – Exposure – Run Imatest – Select files – Settings – Warnings – clipping Batchview (combined results) – Checklist Testing lenses: Introduction Lens
www.imatest.com
해상력을 표현하는 단위는 여러가지가 있다. LP/mm or inch 나 Cycles/mm or inch 같은 단위는 이미지센서의 물리적인 높이 또는 1mm 나 1inch 에 표현될 수 있는 Line 의 숫자를 의미한다. 이 단위들은 Lens 나 이미지센서를 제조하는 업체에서 많이 사용한다.
그러나 최종적으로 소비자가 결과물을 보는 시점인 디스플레이 쪽에 비중을 둔다면 Pixel 로 접근해야 한다. 이번 측정에서 사용하는 단위값은 Line width / Picture Height 라는 단위로, Picture Height 는 이미지센서의 세로 Pixel 을 기준으로 잡는 몇개의 선을 표현할 수 있는가에 대한 수치이다. (위의 두번째 링크에 Table 1. Summary of spatial frequency units withequations that refer to MTF in selected frequency units. 에 해상력 단위에 대한 설명이 있다.) 1 Cycle = 1 Line Pair = 2 Line Width 들은 모두 선을 의미하는 것이며 1 Cycle 과 1 Line 은 흑과 백의 묶음, 2 Line 은 흑과 백의 나눔으로 이해하면 된다.
정리하자면, 유효해상력 또는 선예도는 기준(물리적인 높이 또는 Picture Height 등)에서 몇개의 선(1 Cycles, LP, LW 등)이 표현되는지 MTF 를 통해 계산하는 것이다.
MTF Curve 는 여러가지 요소의 영향을 받는다. 특히 Noise 에 많은 영향을 받는데, MTF20 같은 거친 기준에서는 노이즈로 인해 부정확한 결과를 얻게 된다. 이것은 연구를 통해 알게 된 정론이며, 실제로는 이미지 센서의 발전, 이미징 프로세싱의 발전, 소비자의 눈높이 상승 등의 여러가지 요소가 복합적으로 작용하여 기준점 자체가 높아진 영향이 있다.
MTF80 은 Lens 제조업체에서 주로 사용하는 수치이다. 카메라는 Lens - 이미지센서 - ISP - AP 등을 거쳐 디지털 이미지를 출력하는데, 이 과정에서 손실이 발생할 수 밖에 없다. 우리에게 최종적으로 도달하는 출력을 기준으로 할 때, MTF80을 분석하는 것 자체가 큰 의미가 없다는 뜻이다. 그러므로 이번에는 MTF50을 기준으로 'Vintage' 와 'Reissue' 의 비교 분석을 진행하였다.
해상도(Resolution), 대조도(Contrast), 선예도(Sharpness) 등의 개념은 이미 잘 알고 있을 것이고, 이 검사 결과를 통해서 비교할 수 있는 것은 렌즈의 '유효해상력', '선예도' 개념에 해당한다.
이해가 안가면 그냥 넘어가자, 이 내용을 이해하지 못하더라도 아래의 설명을 이해하는 데에 큰 문제는 없다.


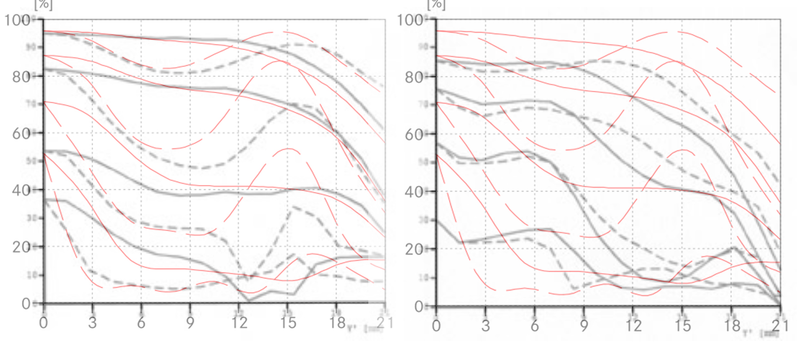
이 3D 차트를 볼 때는 우측의 막대그래프의 색과 수치가 각기 다름을 인지해야 한다. 이 모식도는 경향성을 한 눈에 쉽게 보여주는 것이 목적이다. 측정 수치값이 높을수록 더 높은 '유효해상력'을 가진다고 판단한다.
실제 촬영시 인지했던 것처럼, 중앙부는 'Vintage' 가, 주변부는 'Reissue' 가 더 좋다.
'Vintage' 는 정중앙부에서 첨예하게 유효해상력이 높고, 'Reissue' 는 정중앙부의 유효해상력은 'Vintage' 보다 낮지만, 유효해상력이 높은 중심부의 영역이 더 넓다.
중앙부보다 오히려 주변부의 유효해상력이 우월한 영역들이 있다.
'Vintage' 는 정중앙부에서 '2274' 의 값을 갖는다. 주변부 중에는 '2929' 까지 값이 뛰어오른다.
'Reissue' 는 정중앙부에서 '2236' 의 값을 갖는다. 주변부 중에는 '3719' 까지 값이 뛰어오르는 영역이 있다.
중앙부보다 더 선명한 주변부가 있는 양상, 그리고 중간 영역에서 유효해상력이 급격하게 하락하는 양상은 두 렌즈 모두 공통적이다. 삼차원 그래프를 자세히 보면, 사방으로 출렁이는 경사도가 'Reissue' 에서 더 균일한 것을 확인할 수 있다.
촬영시, 이를 응용하여 중앙부 뿐만 아니라, 해당 모서리부위에 주피사체를 위치시킨다면, 매우 효과적인 공간분리를 얻을 수 있다.








F1.7에 이르러서야 'Reissue' 는 정중앙부의 수치값이 제일 높게 계측된다. 'Vintage' 는 F2 구간을 지나가야 정중앙부의 수치가 주변부 최고수치를 역전한다.


F1.7까지는 중앙부가 첨예하게 보이는 경향(매우 가파른 산)이 있으나, F2부터는 중간부 영역의 유효해상력이 올라오기 시작하며(덜 가파른 산) 전체영역에서 유효해상력이 상승한다. 예전 리뷰에서 이 렌즈가 가지고 있는 최대개방에서의 렌더링 특징이 F1.7정도까지 유지되기 때문에 이를 참고하면, 초점면을 잃어버리는 실수를 줄이면서, 보케 느낌은 거의 그대로 가져갈 수 있다는 tip 을 공유한 바 있다. F1.7 및 F2 의 삼차원 그래프를 살펴보면 답이 보인다.


F2.8부터는 두 렌즈의 해상력이 모두 균등하게 올라오기 시작한다. 수치값은 'Reissue' 가 높고, 해상력이 좋은 영역 또한 더 넓다.










두렌즈 모두 가장 좋은 유효해상력을 보여주는 구간은 F4~F5.6 구간이며, F5.6에서 정점을 찍는다. 전영역에 고른 유효해상력을 보여주는 구간은 F8-F11 이다. 최대개방에서의 첨예한 정중앙부를 제와하고는 조리개를 조일수록 Reissue 의 유효해상력이 모든 영역에서 더 높다. F16 에서는 회절의 영향으로 유효해상력이 후퇴한다. (우측 막대 그래프의 수치를 볼 것) 후퇴하는 정도는 Vintage 에서 더 현저하다.


실제 촬영되는 화각은 Vintage 가 더 좁으며, Barrel Distrotion 은 Vintage 가 더 크다.




주변부 광량저하 현상은 'Reissue'가 조금 더 심하다. 렌즈면의 연마 품질은 'Reissue' 가 더 좋은 것으로 추정된다. 색수차는 'Vintage' 에서 조금 더 관찰이 된다. 이것은 상대적인 비교일 뿐, 실제 육안으로 구분할 수 있는 유효한 기준으로 판단했을 때는, 공통적으로 매우 불량한 주변부 광량저하 현상을 제외하고는, 두 렌즈 모두 상당히 균일한 양상을 보이는 것이라고 한다.




삼차원 막대가 많이 튀어나올수록 Reference 값과 차이가 크다는 뜻이다. 전반적으로 Vintage 에서 삼차원 막대들이 더 튀어나온 경향이 있다. Delta E*ab 기준으로 Reissue 의 색재현력이 더 좋다.

최대개방에서의 Luminance(명도) 값을 살펴보면, Vintage 에서 전체적으로 높게 측정되는 것을 확인할 수 있다. 아무래도 현대의 코팅기술이 적용된 Reissue 의 색재현이 더 안정적일 수 밖에 없을 것이다.
이번 MTF 측정 및 분석을 시행해 주신 (주)이미지테크이노베이션 의 박연준 대표님 말씀에 따르면, 그밖의 부가적인 데이터 분석을 추가로 해 본 결과, 두 렌즈의 경향성이 너무 흡사하여 놀랐다고 한다. 미미한 차이는 있으나 대동소이하다고... 몇십년의 차이를 두고 이렇게 같은 경향성의 렌즈를 만들어 낸 Leica 가 참 대단하다고...
. . .
Part IV. 바디와의 매칭 (Matching with M Camera)
만고불변의 진리, 'Vintage' Noctilux 의 뒷캡으로는 뭐니뭐니해도 M3가 단연 최고이다.







. . .
Part V. 요약 (Summary)

To re-issue this iconic lens, the original calculation and construction were only minimally changed, and carefully adapted to the glass types and production methods available today.
이 상징적인 렌즈를 재발행하기 위해 원래의 계산과 구조는 최소한으로만 변경하었으며, 오늘날 사용 가능한 유리 유형과 생산 방법에 맞게 신중하게 조정되었다.
Noctilux Reissue (11686) 는 Leica Classic Range 항목의 렌즈들 중 가장 성공적으로 재발행한 렌즈로 평가할 수 있다.

개략적인(schematic) 도면을 기준으로 실제 렌즈의 가공형태와 곡률 차이를 확신할 수는 없다. 렌즈를 경통에 넣기 용이하도록 테두리면 가공의 형태(사선형, 계단형)가 일부 다른 것 같기도 하다. 테두리면의 가공차이는 이미지에서 쉽게 확인할 수는 없으나, 역광에서 간혹 보이는 광륜의 형태를 보고 유추할 수 있다. 정 궁금하다면, 두 렌즈를 동시에 분해하여 확인할 수도 있겠지만... 과연 그럴 용자가 있을까??!!
| 50mm Noctilux-m, ASPH. 1:1.2 | Vintage | Reissue |
| Release Year | 1966 | 2021 |
| Order Number | 11820(black) | 11686(black)/11702(silver) |
| Unit Number | 1757 | never limited(black)/100(silver) |
| Groups / Elements | 4/6 | 4/6 |
| Aspherical Surfaces | 2 (AA) | 2 (AA) |
| Number of Aperture Blades | 15 | 16 |
| Focus Range | 1 m to inf | 1 m to inf |
| Filter Size | Series 8 (with 12503) | E49 |
| Hood | 12503 | 12475(black)/12476(Silver) |
| Front Cap | 14102P | 11889 |
| Weight | 453g | 404g |
두 렌즈의 외관은 디테일한 차이가 있고, 길이와 무게 역시 다르다. 'Reissue' 가 더 짧고 가볍다. 'Reissue' 는 E49 필터 나사산을 갖추어 사용하기 더 편리하다. 후드는 서로 호환되지 않는다.
보케 렌더링은 두 렌즈가 너무 흡사하여, 차이를 분간하기 어렵다. 화각은 'Vingage' 가 더 좁고, 왜곡은 'Vintage' 가 더 크다. 렌즈 가공면의 균일성은 'Reissue' 가 더 좋다. 전체적인 해상력 또한 'Reissue' 가 좋다. 색재현력은 'Reissue' 가 더 좋다. 'Vintage' 는 CYON, GREEN, YELLOW 쪽으로 색이 치우친 양상을 보인다.
Reissue 는 블랙색상(11686)를 제한없이 생산하고 있다. 초기 배치(478xxxx) 실버색상(11702)만 100개 수량으로 한정생산하였다. Vintage 의 블랙색상(11820)은 라이카 공식기록으로 1757개만 생산되었다. 최초기 배치의 렌즈들은 네임링 위에 마감링이 하나 더 붙어있어서 rim 이 두꺼워보이기 때문에 thick rim 으로 불리기도 한다. <참고: 여섯번째 시리얼의 Noctilux 50mm f1.2 (first batch 6/200, 1966) > 극소수의 prototype 실버색상이 존재한다.
. . .
Part VI. 결론 (Conclusion)
이 렌즈들은 다른 것이 맞습니까? "네"
이 렌즈들은 같은 것이 맞습니까? "네"
Reissue 렌즈를 '복각' 이라고 부르는 사람들이 많은데,
복각이라 함은 Reverse Engineering 을 통해 역으로 옛것을 추정하고, 본따 만드는 것을 뜻한다.
이것에 대해서는 이전 리뷰의 'Reissue, 재발행(再發行)의 의미, 뉘앙스(Nuance)' 항목에서 구체적으로 언급한 적이 있다.
라이카의 옛 전설을, 라이카가 아카이빙한 자료를 이용하여, 라이카가 현대에 재발행한 렌즈에게 '복각' 이란 표현은 적절하지 못하다.
Reissue : 신(新)세기에서, 전설을 이어가는 것이다.
'사용하겠다'는 것과 '가져야 하겠다'는 것은 각기 다른 결심과 결과를 가져온다.
'Vintage' 는 콜렉터들에게 가장 높은 가치를 가진 라이카 렌즈 중 하나이다. 아마 앞으로도 그럴 것이다.
'Vintage' 를 꼭 가져야겠다면, 얼마가 소요되든 그것을 소유해야 원이 풀릴 것이다.
이것은 다른 방법으로 해결할 수 없다.
그러나, 흥미로운 결과물을 보여주는 Noctilux 렌즈를 씹고 뜯고 맛보고 즐기고 싶다면, 'Reissue' 로 충분하다.
비교를 시작하기 전부터 결론이 바뀌지 않을 것을 나는 이미 알고 있었다.
그저 나는,
같은 듯 다른, 다른 듯 같은 두 렌즈에 대하여,
다르다고 하려면 무엇이 다른지 알고 싶었고, 같다고 하려면 무엇이 같은지 제대로 알고 싶었던 것 뿐이다.
그 궁금증을 시원하게 풀어내어 속이 아주 후련하다.
'Vintage' 또는 'Reissue' 의 사진 몇 장을 보고,
뭔가 불만족스러운 듯, '다르다.' '다른 것 같다' 고 갸우뚱하는 이에게 나는 언제든 자신있게 답해줄 수 있다.
그것은 그저 당신의 기분탓이라고...
. . .
Epilogue

난 이 세상에 단 하나밖에 없는 꽃을 가진 부자인 줄만 알고 있었지.
그런데 알고 보니 내가 가진 꽃은 겨우 평범한 장미꽃이군.
길들인다는 게 뭐지?
그건 사람들이 너무나 잊고 있는 건데...
그건, '관계를 맺는다' 는 뜻이야.
그렇다면, 넌 얻은게 아무 것도 없잖아! 어린 왕자가 말했다.
얻은 게 있어. 여우가 말했다. 밀밭 색깔이 있잖아.
그리고 이렇게 덧붙여 말했다. 장미꽃들을 다시 가서 봐.
너의 장미꽃이 이 세상에 오직 하나뿐인 꽃이란 걸 알게될거야.
Antoine de Saint-Exupéry <Le Petit Prince>
이 사진은 'Vintage' 로 찍은 것일까? 'Reissue' 로 찍은 것일까?
'산은 산이요. 물은 물이다.'
. . .
내가 모든 것을 다 알고 있을 수 없기에, 나 홀로 모든 것을 다 해낼 수 없기에,
금번의 잉여로운 비교를 위해 많은 분들의 도움을 받았다.
일일이 나열할 수는 없지만, 진심으로 감사드린다.
그리고, 마치 하나의 숙제와도 같았던 이 수수께끼를
천천히 풀어낼 수 있도록 호의를 베풀어 주신 지인께도 감사의 인사를 전해드린다.
. . .
Leica 50mm Noctilux 1:1.2 reissue / before announce : JAN, 2021
Leica Noctilux-M 50mm f/1.2 ASPH. A Legend Reborn : First impression : JAN, 2021
Leica Noctilux-M, ASPH. 50mm 1:1.2 reissue : The legend continues in the new century : MAY, 2021
50mm Noctilux, ASPH. 1:1.2 'Vintage' vs 'Reissue' : NOV, 2021
'the Camera 135' 카테고리의 다른 글
| Ricoh GR 21mm 1:3.5 LTM (1999) (0) | 2021.11.30 |
|---|---|
| '25mm Topogon 1:4' and '2.5cm W-NIKKOR-C 1:4' (0) | 2021.11.14 |
| M10-R black paint (1) | 2021.10.26 |
| Bokeh of '8 elements', part II (0) | 2021.10.05 |
| 3.5cm 1:1.8 'W-NIKKOR-C' vs 'W-NIKKOR' (0) | 2021.09.19 |